|

Generative Learning for Slow Manifolds and Bifurcation Diagrams
This paper introduces a novel framework combining conditional score-based generative models and diffusion maps for efficient initialization on slow manifolds and identification of steady states in dynamical systems.
Publications

Generative Learning of Densities on Manifolds
Dimitris G. Giovanis, Ellis Crabtree, Roger G. Ghanem, Ioannis G. Kevrekidis
Computer Methods in Applied Mechanics and Engineering
This paper introduces a generative framework integrating modified score-based models and manifold learning techniques for the approximation and generation of high-dimensional data distributions, particularly in multiscale computational mechanics.

Inverse Design of Alloys via Generative Algorithms: Optimization and Diffusion within Learned Latent Space
Mohammad Abu-Mualla, Ellis Crabtree, Fredrick Michael, Yayue Pan, Jida Huang
Advanced Intelligent Discovery
This paper introduces a novel hybrid VAE/Diffusion Model framework for generating metal alloy compositions that are consistent with prescribed macroscopic properties.

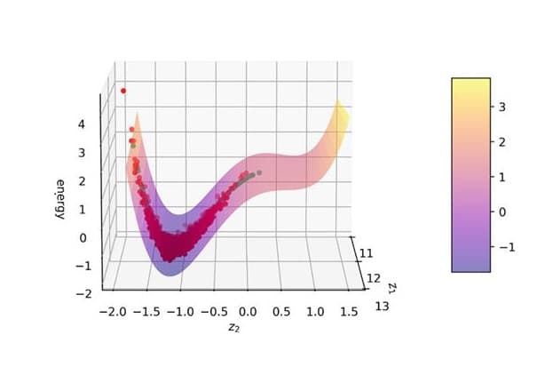
Micro-macro consistency in multiscale modeling: Score-based model assisted sampling of fast/slow dynamical systems
Ellis R. Crabtree, Juan M. Bello-Rivas, Ioannis G. Kevrekidis
Chaos: an Interdisciplinary Journal of Nonlinear Science
This work extends the work from GANs and Closures to score-based diffusion models, using them to initialize simulations of dynamical systems at specified regions that are defined with manifold learning.

GANs and closures: Micro-macro consistency in multiscale modeling
Ellis R. Crabtree, Juan M. Bello-Rivas, Andrew L. Ferguson, Ioannis G. Kevrekidis
Multiscale Modeling & Simulation
This paper introduces a framework for using generative models to initialize simulations at locations in phase space prescribed by collective variables (CV) identified with manifold learning. We also show that traditional enhanced sampling methods can be directly biased by CVs constructed with diffusion maps.

Molecular Transport Behavior of CO2 in Ionic Polyimides and Ionic Liquid Composite Membrane Materials
Joanna Szala-Bilnik, Asghar Abedini, Ellis Crabtree, Jason E. Bara, C. Heath Turner
The Journal of Physical Chemistry B
This publication analyzes the transport behavior of CO2 in ionic polyimides and ionic polyimide + ionic liquid composites.

Molecular analysis of selective gas adsorption within composites of ionic polyimides and ionic liquids as gas separation membranes
Asghar Abedini, Ellis Crabtree, Jason E. Bara, C. Heath Turner
Chemical Physics
This publication analyzes the selective gas adsorption behavior of CO2 in ionic polyimides and ionic polyimide + ionic liquid composites.
![Solubility and diffusivity of CO2 in ionic polyimides with [C(CN)3]x[oAc]1−x anion composition](/_next/image?url=%2Fimages%2Fsolubility.jpg&w=3840&q=75)
Solubility and diffusivity of CO2 in ionic polyimides with [C(CN)3]x[oAc]1−x anion composition
Joanna Szala-Bilnik, Ellis Crabtree, Asghar Abedini, Jason E. Bara, C. Heath Turner
Computational Materials Science
This paper investigates the solubility of ionic polyimide materials in ionic liquid solvents and how this impacts adsorption capabilities.

Molecular Simulation of Ionic Polyimides and Composites with Ionic Liquids as Gas-Separation Membranes
Asghar Abedini, Ellis Crabtree, Jason E. Bara, C. Heath Turner
Langmuir
This publication analyzes the general adsorption behavior of CO2 in ionic polyimides and ionic polyimide + ionic liquid composites with both molecular dynamics and grand canonical Monte Carlo simulations.